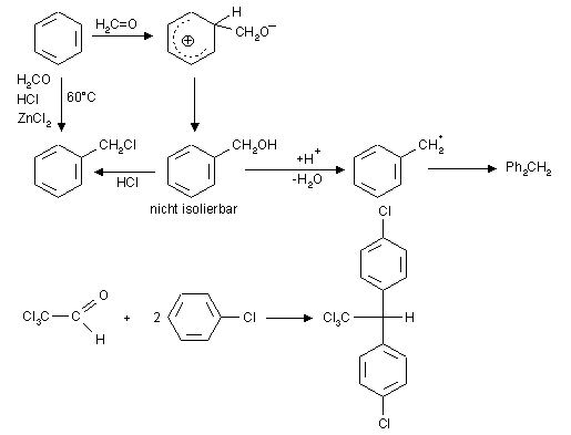
Chlormethylierung
Mit der Reaktion stellt man Benzylchlorid her. Auch DDT ist darüber zugänglich. Bei Verwendung von Phenol kommt man zu Bakelit.

| Zusätzlich zu der hier online verfügbaren Namensreaktionen könnt Ihr auch die ganze Liste als PDF herunterladen. |
Mit freundlicher Genehmigung von Andreas Schleifenbaum und Thomas Wohlhaupter
