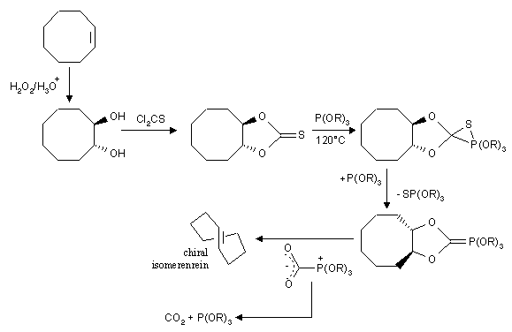
Corey-Winter-Reaktion
Mit der Reaktion kann man cis-Olefine in trans-Olefine umwandeln. Die Produkte erhält man chiral und isomerenrein.

| Zusätzlich zu der hier online verfügbaren Namensreaktionen könnt Ihr auch die ganze Liste als PDF herunterladen. |
Mit freundlicher Genehmigung von Andreas Schleifenbaum und Thomas Wohlhaupter
