Sanger-Reagenz
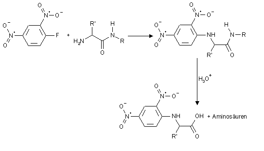
Zuerst wird (über eine nucleophile aromatische Substitution) 1-Fluor-2,4-dinitrobenzol an die Aminogruppe substituiert. Dann wird das Peptid hydrolytisch gespalten. Führt man die Hydrolyse vorsichtig genug durch (was allerdings lästig ist) kann man so das ganze Peptid abbauen. Bei der Spaltung bleibt der Dinitrophenyl-Rest an der N-terminalen Aminogruppe haften.Diese kann dann leicht abgetrennt und z.B. über Chromatographie bestimmt werden.

Siehe auch:
| Zusätzlich zu der hier online verfügbaren Namensreaktionen könnt Ihr auch die ganze Liste als PDF herunterladen. |
Mit freundlicher Genehmigung von Andreas Schleifenbaum und Thomas Wohlhaupter
