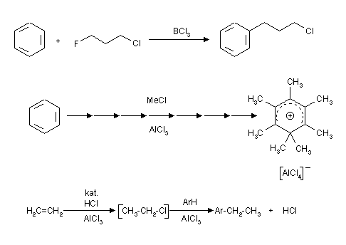
Friedel-Crafts-Alkylierung
Die Reaktion hängt von der Komplexstabilität des Halogens mit dem Kat. ab.
Es gilt folgende Reihe: R-F > R-Cl > R-Br > R-I
Da das Produkt die Lewis-Säure bindet, muß etwas mehr als ein Äquivalent Lewis-Säure zugegeben werden.

Siehe auch:
| Zusätzlich zu der hier online verfügbaren Namensreaktionen könnt Ihr auch die ganze Liste als PDF herunterladen. |
Mit freundlicher Genehmigung von Andreas Schleifenbaum und Thomas Wohlhaupter
