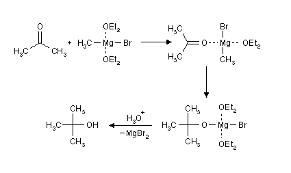
Grignard

Das Reagens wird in Et2O hergestellt. Dieses stabilisiert die Verbindung. Man beobachtet sonst das Schlenk-Gleichgewicht.
Mit Grignard-Verbindungen alkyliert man man polare Mehrfachbindungen (v.a. Carbonyle).

Carbonsäuren (bzw. deren Salze) setzen sich nicht mit dem Reagens um.
Bei der Reaktion treten zwei Nebenreaktionen auf:
- beta-Hydrid-Verschiebung
- Enolisierung (v.a. bei sterischer Hinderung)

Siehe auch:
| Zusätzlich zu der hier online verfügbaren Namensreaktionen könnt Ihr auch die ganze Liste als PDF herunterladen. |
Mit freundlicher Genehmigung von Andreas Schleifenbaum und Thomas Wohlhaupter
