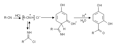
Hösch-Reaktion
Als Reagenzien verwendet man ein Nitril und HCl; der Aromat muß aktiviert sein (z.B. Phenole).

Siehe auch:
| Zusätzlich zu der hier online verfügbaren Namensreaktionen könnt Ihr auch die ganze Liste als PDF herunterladen. |
Mit freundlicher Genehmigung von Andreas Schleifenbaum und Thomas Wohlhaupter
