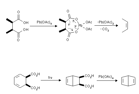
Oxidative Decarboxylierung
Die Reaktion verläuft stereospezifisch.
Setzt man bei der Reaktion noch LiCl zu, so erhält man den chlorierte Rest (Kochi-Reaktion
Mit Hilfe der Reaktion ist auch Dewer-Benzol zugänglich.

Siehe auch:
| Zusätzlich zu der hier online verfügbaren Namensreaktionen könnt Ihr auch die ganze Liste als PDF herunterladen. |
Mit freundlicher Genehmigung von Andreas Schleifenbaum und Thomas Wohlhaupter
