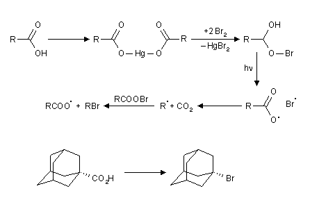
Hunsdiecker
Als Katalysator verwendet man HgO oder Ag2O. Außerdem wird, da es ein Radikalmechanismus, belichtet.

| Zusätzlich zu der hier online verfügbaren Namensreaktionen könnt Ihr auch die ganze Liste als PDF herunterladen. |
Mit freundlicher Genehmigung von Andreas Schleifenbaum und Thomas Wohlhaupter
