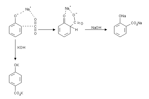
Kolbe-Schmidt-Reaktion
Bei Na-Phenolat kommt man zum Salicylat, das sich bei 510K in die (thermodynamisch günstigere) p-Hydroxybenzoesäure umlagert. Verwendet man K-Phenolat, so erhät man direkt die p-Hydroxybenzoesäure.Bei der Reaktion spielt also die Kationgröße eine entscheidende Rolle.
Die Reaktion läuft nur noch bei den stark aktivierten Phenolen ab.

| Zusätzlich zu der hier online verfügbaren Namensreaktionen könnt Ihr auch die ganze Liste als PDF herunterladen. |
Mit freundlicher Genehmigung von Andreas Schleifenbaum und Thomas Wohlhaupter
