Mannich-Reaktion

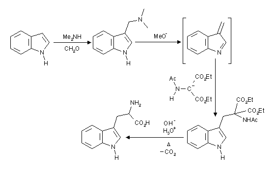
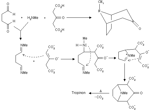
Auf diese Weise kann man zum Beispiel Tryptophan oder Tropinon darstellen:


| Zusätzlich zu der hier online verfügbaren Namensreaktionen könnt Ihr auch die ganze Liste als PDF herunterladen. |
Mit freundlicher Genehmigung von Andreas Schleifenbaum und Thomas Wohlhaupter
