Michaeladdition und Michaelsystem
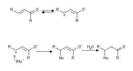
Dadurch ist das beta-C-Atom elektropositiv und somit ein guter Angriffsort für Nucleophile.
Solche Systeme kommen bei vielen Reaktionen vor und finden somit eine breite Anwendung (z.B. bei der Hantzschen Pyridin-Sythese, der Robinson-Anellierung oder Skraupschen Chinolin-Synthese).

| Zusätzlich zu der hier online verfügbaren Namensreaktionen könnt Ihr auch die ganze Liste als PDF herunterladen. |
Mit freundlicher Genehmigung von Andreas Schleifenbaum und Thomas Wohlhaupter
