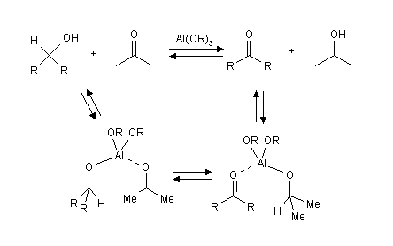
Oppenauer-Reaktion
Die Reaktion ist reversibel und somit nur über einen deutlichen Acetonüberschuß steuerbar.
Läuft die Reaktion in die "andere" Richtung, dann ist es die sogenannte Meerwein-Ponndorf-Verley-Reaktion.

Siehe auch:
| Zusätzlich zu der hier online verfügbaren Namensreaktionen könnt Ihr auch die ganze Liste als PDF herunterladen. |
Mit freundlicher Genehmigung von Andreas Schleifenbaum und Thomas Wohlhaupter
