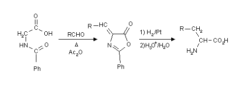
Erlenmeyer-Synthese (Azlakton-Synthese)
Man arbeitet in Ac2O um das enstehende Wasser zu entziehen.

| Zusätzlich zu der hier online verfügbaren Namensreaktionen könnt Ihr auch die ganze Liste als PDF herunterladen. |
Mit freundlicher Genehmigung von Andreas Schleifenbaum und Thomas Wohlhaupter
