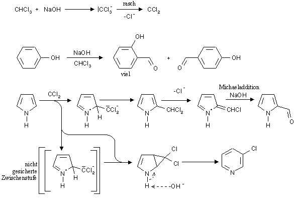
Reimer-Tiemann-Reaktion
"Vilsmaier-Haack-Reaktion im alkalischen. Das Problem ist, daß zum Teil Nebenreaktionenablaufen.

Siehe auch:
| Zusätzlich zu der hier online verfügbaren Namensreaktionen könnt Ihr auch die ganze Liste als PDF herunterladen. |
Mit freundlicher Genehmigung von Andreas Schleifenbaum und Thomas Wohlhaupter
