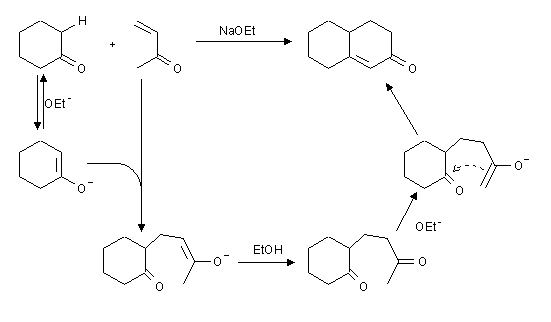
Robinson-Annellierung
Die Reaktion spielt(e ?) eine große Rolle bei der Synthese von Steroiden. Bei der Reaktion handelt es sich mal wieder um eine Michael-Addition

| Zusätzlich zu der hier online verfügbaren Namensreaktionen könnt Ihr auch die ganze Liste als PDF herunterladen. |
Mit freundlicher Genehmigung von Andreas Schleifenbaum und Thomas Wohlhaupter
