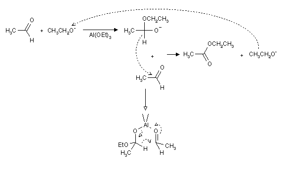
Tischtschenko-Reaktion
Es entsteht der entsprechende Carbonsäureeter mit dem entsprechendem Alkohol. Als Katalysator setzt man Al(OEt)3 ein.

Siehe auch:
| Zusätzlich zu der hier online verfügbaren Namensreaktionen könnt Ihr auch die ganze Liste als PDF herunterladen. |
Mit freundlicher Genehmigung von Andreas Schleifenbaum und Thomas Wohlhaupter
